2020年3月11日星期三

23:32:57

景气接力和弱者思维

 投资聚义厅 投资聚义厅 4天前

1

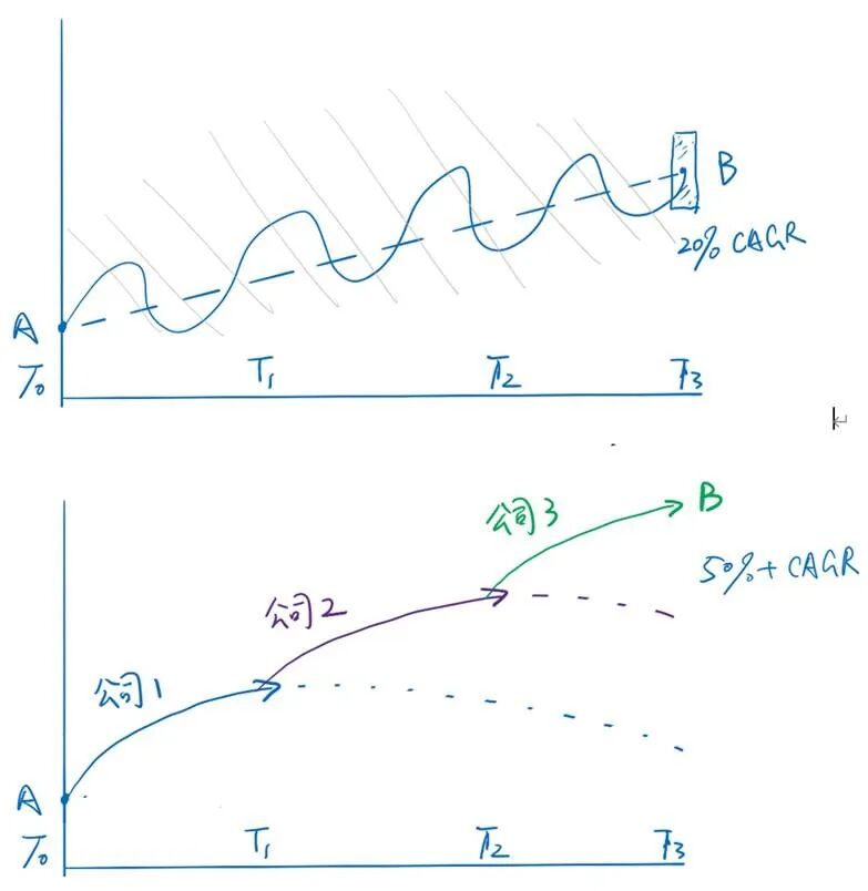
2019年年报里我放了两张图,一张是看长期20%年化的打法,一张是景气度接力50%年化的打法。


我们原意是想说,这两种方法都是可以实现的,但是第二种是更难的武功。我想这表达的已经非常清楚了,但还是有同行表达了不同看法。


他的逻辑是这样的

①A图的假设比B强,而不是弱。因为这要求公司增速每年超出GDP增速15-20%,而且不杀估值,不是景气周期而是真成长。是极强的假设。

②GDP增速逐渐放缓,老龄化存量博弈,在日本股市这种公司不超过1%。

③A是个小概率事件,是类似冯柳说的强者假设。而周期景气的-2标准差到0轴,是弱者假设,是大概率事件。


应该说有这个想法是不奇怪的,在写年报里关于强弱这一段时我就完整想过这个逻辑,并且我也想到了一定会拿冯柳举例子。只不过篇幅限制,年报里就没有再做二层三层的引申讨论。


但这个问题本身还是挺有意义的,所以今天再打开讲一下。


2

先讲一讲关于小概率事件。要找一个比较确定3年利润复合增长20%的公司,确实不是件容易的事情。


首先这是得相对平稳的行业,大起大落的周期行业很难让你产生3年的确定性。其次估值不能太高,好比酱油可能很平稳给你20%,但50xPE你不知道何时会压缩会坍塌。



*2017年以前上市,17-19年内生净利润超过70%的股票只有35只。 


相比之下,找一只在兴头上的股票就容易多了。每天涨停的有几十只,每个月超跌的几十只,每个季度增速超预期的又是几十上百只。这就是为什么做短有那么大吸引力。


如果你是扔飞镖选股票,那么3000只股票作为分母,我可以很负责任的说,扔到一只在兴头上的股票概率要高很多。


但是我们并不是在讨论3年利润复合20%的公司多,还是边际利好一个季度涨10%的公司多,这需要讨论吗?


我们讨论的是用第一种武功三年赚一倍难,还是用第二种武功每年赚50%+难。


不是出现涨50%的股票,而是形成赚钱的盈利模型。

盈利模型=机会存在+单次可闭环+多次可重复+可在他人身上重复


第一种武功你并不是随机选股票,228个申万三级子行业里,值得看的也就是那么20来个细分行业,大部分股票并不出现在分母里。


然后你也并不是买定离手放三年中间不许动。买完以后会持续跟踪,如果提前涨到位可以兑现,如果出现问题也可以修正控制风险。


难吗?很难,一点都不容易,没有异议。


但我们说的是第二种武功是不是更难。难在哪里我们在之前文章里其实都讲过。 



1年涨50%固然好,但是投资周期越短,对市场环境的要求就越高。风格、偏好、筹码结构这些要素都要做考虑。如果市场对你的股票处在一个高风险偏好的位置上,你就要依赖这种偏好能够持续,甚至变得更强。

换句话说,1年能涨50%的股票,如果这只股票在3年的周期上反而不敢看翻倍,意味着T1涨50%,T2和T3两年都不一定能涨50%了。

为什么呢?可能是因为业绩增速要降低很多,也可能是因为估值要压缩很多。

总之,就是T1的某些因素可能不持续了,至少你的内心深处对于这种因素的可持续性是抱有怀疑的。

如果是估值不可持续,那就说明现在的估值已经跟基本面出现了不匹配,之所以维持在高位是因为风在这里,而我不知道T2/T3还有没有这种风。

如果是业绩增长不可持续,那就说明公司在T1的增长是有瑕疵的,有些重要问题还不够确定不够放心。所以我不知道T2/T3还能不能高增长。

情绪易冷,业绩易崩。

既然认为T2和T3业绩估值可能都有风险,那就要做好这种风险在T1就爆发的准备。

一种可能是风平浪静,风险没有展开,有惊无险到手40-50%。比如利亚德,年年担心做不到高增长,年年给你兑现。

一种可能是T1这些风险就意外发酵了,那就腥风血雨了,往往一波戴维斯双杀送你上天。比如海能达。

―《三类问题和七种武器》



 其实关于难不难这个问题,换个角度用最直白的大道理就能想通。

给定规模和时长相同,年化20%的策略和年化50%的策略哪个技术上会更难?

如果50%的策略更容易,这个世界就不会均衡了。

好比一个是在银行上班赚钱,一个是抢银行赚钱,哪个难?


现在抢银行的跑来说,诶哟我觉得你们上班的好难哦,天天坐办公室3年以后有没有盼头都不晓得,全行那么多人轮到你做行长的概率也就1%。我觉得还是我们这样大把抢钱日子过得容易些,你说呢?


我们只能呵呵笑笑说,哪里哪里。

你才南,你全家都南。


3

关于景气接力,这半年时间市面上冒出大量成长股基金经理的访谈,从5G设施到半导体,从电池设备到负极材料,从手游同比增长到网红MCN带货,从白酒到猪肉,每一个他们都是深入研究基本面,完美接力,一浪高过一浪。


用当前新一代公募一哥的话来说,就是"我的体系没有短板"。

此言一出,满座皆惊。


这是怎么做到的,用天龙八部里的一个桥段解释,最为贴切。




玄生朗声道:"据国师所言,有人以一身而能兼通敝派七十二门绝技?"鸠摩智点头道:"不错!"玄生道:"敢问国师,这位大英雄是谁?"鸠摩智道:"殊不敢当。"玄生变色道:"便是国师?"鸠摩智点头合十,神情肃穆,道:"正是。"

这两字一出,群僧尽皆变色,均想:"此人大言炎炎,一至于此,莫非是疯了?"……故老相传,上代高僧之中曾有人兼通一十三门绝技,号称"十三绝神僧",少林寺建寺数百年,只此一人而已。要说一身兼擅七十二绝技,自是欺人之谈。

少林七十二门绝技之中,更有十三四门异常难练,纵是天资极高之人,毕生苦修一门,也未必一定能够练成。此时少林全寺僧众千余人,以千余僧众所会者合并,七十二绝技也数不周全。眼看鸠摩智不过四十来岁年纪,就说每年能成一项绝技,一出娘胎算起,那也得七十二年功夫,这七十二项绝技每一项都是艰深繁复之极,难道他竟能在一年之中练成数种?

……

虚竹眼见鸠摩智使出大金刚拳拳法、般若掌掌法、摩诃指指法,招数是对是错,他没有学过这几门功夫,自是无法知晓,但运用这拳法、掌法、指法的内功,他却瞧得清清楚楚,那显然是"小无相功"。……他听鸠摩智自称精通本派七十二门绝技,然而施展之时,明明不过是以一门小无相功,使动般若掌、摩诃指、大金刚拳等招数,只因小无相功威力强劲,一使出便镇慑当场,在不会这门内功之人眼中,便以为他真的精通少林派各门绝技。这虽非鱼目混珠,小无相功的威力也决不在任何少林绝技之下,但终究是指鹿为马,混淆是非。

……

那老僧继续道:"小无相功精微渊深,以此为根基,本寺的七十二绝技,倒也皆可运使,只不过细微曲折之处,不免有点似是而非罢了。……明王若只修习少林派七十二项绝技的使用之法,其伤隐伏,虽有疾害,一时之间还不致危害本元……种种迹象,显示明练过少林七十二项绝技之后,又去强练本寺内功秘笈'易筋经'……"他说到这里,微微摇头,眼光中大露悲悯惋惜之情。



成长景气度接力这个打法,本质上是事件驱动

这和炒高送转、炒政策主题的底层机制是一样的。

都是在交易【某种你认为它存在的,市场对基本面消息的反应机制】。


一个人不可能精通那么多行业,并真的靠行业基本面变化轮动赚钱。

如果有人告诉你他可以,不要被唬住了,他一定是用小无相功驱动的。

因其无相而可以化为万相。


4

冯柳的文章说,他只对基本面做一些简单假设,比如不会更差了。但是不对基本面做强假设,比如下个季度增速多少,未来三年利润翻多少。


他把这个叫做弱者思维,我觉得这个表述相当好,是运用道家思想对安全边际的阐述。


这种思路使得他不会在高位时顶着高预期向上打,放低预期就是在要求安全边际,是对投资很好的保护。


上善若水,水善利万物而不争,处众人之所恶,故几于道。


但问题是,安全边际是用来防守保护的,超额收益从哪来呢?50%年化从哪来呢?

①结合基本面和情绪感知极限价格,对"超跌"的识别。

②知道市场状态,知道市场被什么共识所支配。找可逆的共识。

③找到趋势和预期通向运动并强化的机会。

这很容易给人一种误解。似乎买一个非困境时的好公司就是强者思维,因为你要假设它一直好,结果挣不到钱。而看着图表买只二三流公司是弱者思维,只要不会更差,反而容易赚钱。


进一步演绎就是:

在基本面上承认自己的外行,承认未来事实是混沌和无法看清的。

在下是弱者,小猫一只。20%CAGR?太难太难。

但是在市场层面,聆听市场、认知市场、利用市场倒是可以做到的。

在下是弱者,尊重市场。50%CAGR?扶我试试。


能看懂和利用市场,能将基本面、预期和图表糅合进高阶分析,这还能叫弱者吗?

千万不要被文字上的弱者表达迷惑了,在市场层面,人家其实是不折不扣的强者。


写到这里,又想到巴菲特在有一年的股东信里写的:

不同公司的内在风险,对于普通投资者而言,只要对消费行为和长期竞争力优劣具有适度的理解能力,区分它们的不同毫无难度 。

悔创阿里、不识妻美、适度理解、弱者思维,这些都是谦(zhuang)虚 (bi)的说法:

哥都是在没发力的状态下,取得一点微不足道的成就。


对于大多数个人投资者,真的想用弱者思维保护自己的方式,就是选择经济体里最强的这批公司去承受低一些的指数化收益率。


而不是贴着弱者思维的标签,去向预期差索要50%收益率。


点击最底部的"喜欢作者",请聚义厅兄弟们喝酒


往期文章回顾

035:《疫情下的思考随笔》

034:《给时间一点时间》

033:《竞争格局很重要:从鸦片想到化妆股》

032:《To Be A Fighter:做一名战士》

031:《研究的复利效应》

030:《因子投资:不能说的秘密》

029:库里的突破为何犀利

028:《屁股和脑袋》

027:《牛市应该做什么》

026:《一个85后基金经理的毛选读后感》

025:《说英雄,谁是英雄》

024:《风掣红旗冻不翻:2018总结与2019展望》

023:我们穿越到了2012年

022:《创新药估值工厂》

021:《这次是否不一样》

020:《基金经理如何做投研》

019:《成长股的至暗时刻》

018:《流川枫的三威胁》

017:《防守赢得总冠军》

016:《世人皆道黑马好》

015:《我不是赌神:德州扑克那些事》

014:《低估值不都是用来防守的》

013:《主题投资的正确姿势》

012:《确定性的三重门》

011:《如何寻找好赛道》

010:《投资最重要的事》

009:《股票分级体系:三类问题和七种武器》

008:《不可能三角问题如何破》

007:  《复利的核心是风控》

006:  《股票流派修炼手册》

005:  《价值投资的奥义》

004:《我们只是在做事件驱动交易》

003:《市场派的逻辑》

002:《股票投资的招式、流派与心法》

001:《我们追求的回报率》

长按识别二维码,聚义厅等你入伙



投资聚义厅

我请聚义厅的兄弟们喝酒

喜欢作者

39 人喜欢

阅读 1.5万
写下你的留言
精选留言
  •  11
    鸠摩智那段很贴切。在极品公司中守拙,或是在景气趋势中攻取,都是不错的做法,无所谓高下。前者知习传播相对容易,但考验人设和募资能力,后者收益更为凌厉,但耗费心神且易走火入魔。天下武学,各有领悟,博采众家,兼取所长,最终找到适合自己的就好。
  •  4
    经常在雪球上大V说对弱者思维深有同感,这其实是说他们真的……也很强
  •  2
    懂了,他强我不强,我的理念不行水平不够经验不足他可以做到我太难了啊 他强由他强,清风拂山岗;他横由他横,明月照大江.他自狠来他自恶,我自一口真气足。
  •  2
    超额收益一方面来自每次冲刺把油门踩足,另一方面来自每次过弯减少失误,能把失误控制好也能战胜一大群了


natelinn@163.com

没有评论:

发表评论